研究生教育

首页 > 人才培养 > 研究生教育 > 正文
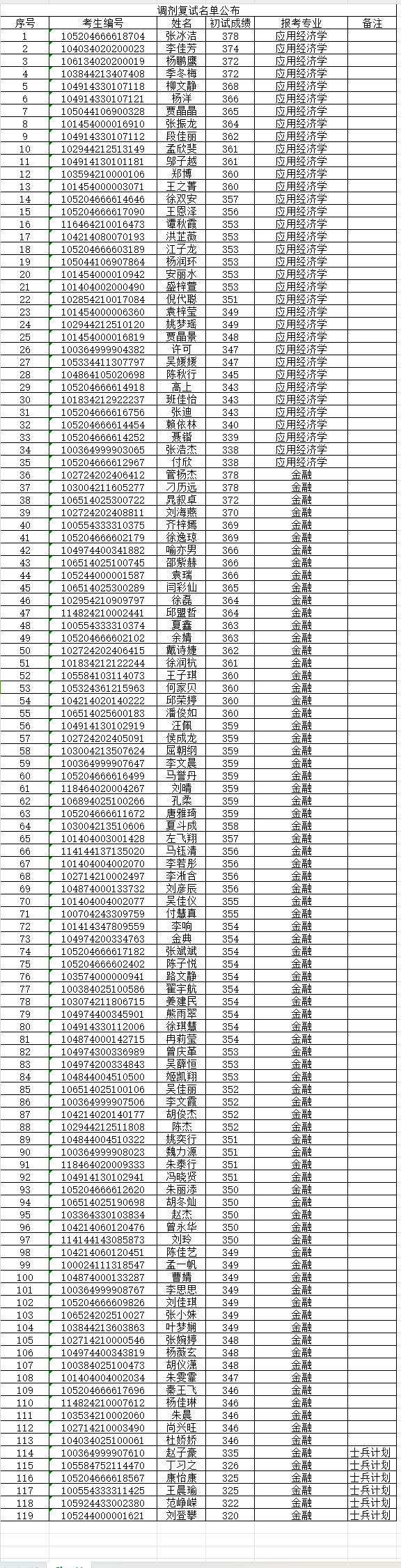
【调剂名单】英国365集团网站2024 年硕士研究生调剂复试名单
作者:英国365集团网站  编辑:张琴   发布时间:2024-04-10  发布来源:英国365集团网站    浏览次数:


友情链接

  • 集团微信公众号

  • 员工会微信公众号

  • 公司微信公众号

版权所有:Copyright 365英国上市(集团)有限公司-Official website All Rights Reserved.

地址:湖北省武汉市江夏区阳光大道1号 邮编:430200 电话:027-59367570